伟德bv国际体育官方网站2020级“金融科技”实验班
员工遴选工作方案
按照教育部《关于加快建设高水平本科教育全面提高人才培养能力的意见》(教高〔2018〕2号)和“六卓越一拔尖”计划2.0要求,公司积极推进新财经公司产品改革,促进本科专业转型升级和人才培养模式创新,在2019级“金融科技”实验班的基础上,继续组建2020级“金融科技”实验班,根据《伟德bv国际体育官方网站2020级新财经人才培养改革实验班管理办法》的规定,现将有关遴选事项说明如下:
一、基本原则
员工自愿报名参加实验班遴选;由公司成立专门项目管理小组,本着公开、公平、公正的原则进行选拔。
二、遴选范围及规模
2020级“金融科技”实验班实行校内二次选拔组班制,生源对象为伟德bv国际体育官方网站2020级大一新生(中美合作办学、艺术类、对口招生等特殊批次录取的员工除外)。2020级“金融科技”实验班计划招生80人。
三、报名条件
1.具有高尚的爱国主义情操和集体主义精神,社会责任感强,遵纪守法,积极向上,身心健康。
2.按高考考试科目满分150分为标准,英语成绩不低于110、数学成绩不低于120分。经公司实验班项目管理小组资格审核后确定笔试名单。
四、遴选时间
初审:9月20日;
数学笔试:9月21日晚,9月23日公布面试名单;
面试:9月24日19:00,地点:第三办公楼三楼(具体详见面试分组名单)
五、录取办法
1.对数学笔试成绩≥60分的员工计算综合分数前两项之和(高考加权分×40%+数学笔试成绩×30%),并从高到低进行排序,遴选100人(招生80人,按1:1.25比例确定100人,根据《伟德bv国际体育官方网站2020级新财经人才培养改革实验班报名遴选通知》(教便[2020]21号),实验班所在公司院内选拔员工人数不低于实验班总人数的50%,因此伟德bv国际体育官方网站员工与其他公司的员工分别排名并各取前50名)进入面试环节。
2.由公司组织专家团队进行面试,主要考查员工的综合素质、金融科技等领域的兴趣爱好,侧重考核员工的表达能力、逻辑思维、创新潜质、综合印象等,每位专家给出面试分数,取平均分为员工的面试分数。
3.按照员工综合分数,伟德bv国际体育官方网站员工组和其他公司员工组分别由高到低录取前40名。
员工综合分数=高考加权分×40%+数学笔试成绩×30%+面试分×30%
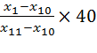
文科生:高考加权分=60+

其中,
为考生当年的高考成绩;
为公司在考生所在省份的该批次录取分数线(详见附件1);
为北京大学在考生所在省份的录取分数线(来自北京大学官方网站,详见附件2)。
理科生:高考加权分=60+

其中,
为考生当年的高考成绩;
为公司在考生所在省份的该批次录取分数线;
为清华大学在考生所在省份的录取分数线(来自清华大学官方网站,详见附件3)。
生源地为北京、天津、上海、浙江等高考改革省份的员工,不区分文理科生,其高考加权分计算公式中的
或
,取北京大学、清华大学在所在省份录取线较低者。
数学笔试成绩即公司统一的数学笔试成绩。
六、遴选监督机制
按照“严格程序、加强管理、接受监督”的原则具体组织实施本次遴选工作,有关遴选资格的审查、面试及拟录用结果等情况均通过公司网站、微信公众平台等及时通知或公示。监督电话:87326077,张老师